What Water Does to Light#

The Light and Color Primer covered how light carries color, how we perceive it, and how cameras record it. All of that assumed light traveling through air — a medium so transparent we can ignore it. Water is different. It absorbs, scatters, and reshapes light in ways that make underwater photography a fundamentally harder problem than surface photography.

This article describes those problems. Solutions come later.


1. What happens to the light#

When you take a photo underwater, the light reaching your sensor has traveled through a column of water — and water is not a passive medium. It actively removes and redirects photons along the way.

The standard underwater image formation model (McGlamery, 1979 1) decomposes the light arriving at each pixel into three components:

I(x) = D(x) + F(x) + B(x)
  • D(x) — Direct signal: light that left the object, traveled through water to the camera, and arrived attenuated but intact. This is the component that carries actual scene information — colors, textures, details. It’s also the component most damaged by absorption: the water column strips wavelengths selectively, and the longer the path, the more color is lost. Recovering this signal accurately is the central goal of any underwater color correction

  • F(x) — Forward scatter: light from the object that was deflected by particles along the way. It still originated from the object, but arrived slightly off-course, blurring fine detail. Effectively a low-pass filter applied by the water itself

  • B(x) — Backscatter: light that never touched the object at all. Ambient or strobe light hits particles suspended between camera and object, and some scatters back toward the lens. This adds a luminous veil over the image — reducing contrast and washing out shadows

The Jaffe-McGlamery underwater imaging model The Jaffe-McGlamery underwater imaging model: light arriving at the camera is the sum of direct signal, forward scatter, and backscatter. Source: McGlamery (1979) 1.

Of these three, the direct signal is what matters most — it’s the actual photograph. Absorption is what damages it most severely, and absorption is where most of the challenge and opportunity for correction lies.

Backscatter is primarily a shooting problem, not a processing problem. Proper strobe positioning — angling lights outward so they don’t illuminate the water column directly in front of the lens — avoids most of it. Software can estimate and subtract residual backscatter, but the results are imperfect: you’re separating two overlapping light fields from a single image.

Backscatter — particles lit by the strobe between camera and subject Backscatter: suspended particles between camera and subject scatter strobe light back toward the lens, adding a veil of bright spots over the image.

The D+F+B decomposition is a simplification. In practice, how much the direct signal is attenuated depends not just on distance but also on what the object reflects — a red surface loses more signal than a blue one over the same path. Akkaynak & Treibitz (2018) 2 formalized this, showing that the attenuation coefficients for the direct signal and backscatter are different and must be estimated separately. Their work (Sea-Thru) is one of the foundations of modern computational underwater color correction.

2. Absorption — the color problem#

Exponential decay, wavelength by wavelength#

Light passing through water is absorbed according to the Beer-Lambert law: intensity at wavelength λ after traveling distance d decays exponentially:

I(λ, d) = I₀(λ) × exp(−a(λ) × d)

The absorption coefficient a(λ) is the key quantity — it determines how fast each wavelength is removed per meter of water. Red light has an absorption coefficient orders of magnitude higher than blue. The decay is exponential: each additional meter removes the same fraction of remaining light, not the same absolute amount. This means the first meters are the most destructive.

Pope & Fry (1997) 3 measured the absorption spectrum of optically pure water across the visible range. The minimum sits at ~420nm (blue-violet), where a ≈ 0.006 m⁻¹. From there absorption rises gently through green, then climbs steeply: at 600nm (orange) it’s roughly 0.2 m⁻¹, and at 700nm (deep red) it reaches ~0.6 m⁻¹ — a hundredfold increase over blue. Even in perfectly clear water with nothing dissolved or suspended in it, a few meters of path length is enough to devastate the red channel.

Absorption coefficient of water across the visible spectrum Absorption coefficient of pure water as a function of wavelength. The steep rise from blue toward red explains why warm colors vanish first underwater. Source: Wikimedia Commons, CC BY-SA 4.0.

Colors disappear in order#

The practical consequence is a progressive spectral amputation with depth. In clear open ocean water:

Depth What’s lost
~5m Red severely attenuated
~10m Orange diminished
~20m Yellow fading
~30m Only blue-green remains

These numbers are for clear open ocean — they shift with water type (section 4). But the pattern is always the same: longest wavelengths go first.

Colors disappearing with depth underwater Progressive color loss with depth: warm colors vanish first as absorption strips the longest wavelengths. Source: PBS LearningMedia.

The first few meters cause the most dramatic change. The perceptual difference between the surface and 5m depth is far greater than between 25m and 30m. By 25m, most warm wavelengths are already gone — there’s little left to lose.

The underwater illuminant is not a “cooler” version of sunlight. It’s not something a color temperature slider can describe. Entire regions of the spectrum are missing. This is why auto white balance fails — it assumes the illuminant is a smooth curve that can be characterized by a single number. The underwater illuminant is a curve with a cliff. See: why AWB assumes Planckian curves.

It’s not just the water#

Pure water absorption is only the baseline. Real water contains dissolved and suspended substances that reshape the absorption spectrum further:

CDOM (colored dissolved organic matter) — dissolved organic compounds that absorb strongly in UV and blue wavelengths. Rivers, estuaries, and coastal waters are rich in CDOM. It shifts the underwater transmission window from blue toward green — which is why tropical open-ocean water looks blue, but temperate coastal water looks green and freshwater lakes often look brown 4.

Phytoplankton — chlorophyll absorbs at ~440nm (blue) and ~675nm (red), with a minimum around 550nm (green). High-chlorophyll waters lose additional blue light, pushing the illuminant even further toward green 4.

Suspended particles — mineral sediment, detritus, organic matter. These contribute broadband absorption that raises overall attenuation without strong wavelength selectivity. In stirred-up or silty water, particles can dominate the total light loss.

The relative mix of these constituents determines the shape of the absorption spectrum — and therefore the color character of the underwater light. This is why the same depth in different water bodies produces completely different color casts.

Depth vs. distance#

Depth and camera-to-subject distance are two separate attenuation paths that compound:

  1. Surface → scene: depth controls the ambient light spectrum — which wavelengths survive to illuminate the object
  2. Scene → camera: the camera-to-subject range adds a second attenuation path on the reflected light

A strobe bypasses the first path entirely — it emits full-spectrum light regardless of depth. But strobe light still has to travel through water to the object, and the reflected light travels back through water to the camera. Combined with the inverse square law (intensity drops as 1/r²), the effective working range for color restoration is roughly 1–2m in clear water. Beyond that, the round-trip absorption eats the reds before they reach the sensor.

This creates the mixed-light problem: the strobe-lit foreground receives full-spectrum illumination while the ambient-lit background receives only depth-filtered light. A single frame contains two fundamentally different illuminants. No single white balance can serve both.

Mixed lighting underwater — strobe-lit foreground vs ambient-lit background The mixed-light problem in practice: the camera white-balanced for the ambient water, leaving the strobe-lit foreground too warm and red. Correcting for the foreground would push the background even further into blue. Two illuminants, no single correct white balance.

3. Scattering — the contrast problem#

Absorption removes photons from the path entirely. Scattering redirects them. Both contribute to the total beam attenuation coefficient c(λ) = a(λ) + b(λ), where a is absorption and b is scattering — but they degrade images in fundamentally different ways. Absorption steals color. Scattering steals contrast and sharpness.

What forward scatter actually does#

Every particle suspended in the water is a tiny obstacle that can deflect light passing by. When light from your subject gets nudged off its straight path — even slightly — it arrives at the wrong pixel, or arrives smeared across several pixels. The cumulative effect of millions of these small deflections is a blur: sharp edges soften, fine texture disappears, and the image looks like it was shot through a dirty window.

The effect grows with distance and turbidity. In clear water at close range, it’s negligible. At longer shooting distances or in particle-rich water, it becomes the main limit on image sharpness — no amount of post-processing can fully recover spatial detail that was scattered before it reached the sensor.

Particle size shapes the scattering#

Larger particles — sand grains, plankton, detritus — scatter light broadly across all wavelengths (Mie scattering). In turbid coastal or silty water, this particle scattering dominates and is roughly wavelength-neutral: everything gets hazier, without a strong color bias.

In clear ocean water, molecular-scale scattering dominates — Rayleigh scattering — which favors short wavelengths. Blue light scatters more than red. This is the same mechanism that makes the sky blue, and it contributes to the blue cast of clear deep water beyond what absorption alone produces.

Caustics#

In shallow water, surface waves act as a dynamic lens array — refracting sunlight into focused bright lines and dark shadows on the substrate. These caustics create extreme local contrast swings that can fool metering and auto-exposure. There’s no real fix — they’re a dynamic, physical phenomenon. The practical approach is awareness: anticipate them in the shallows and adjust exposure accordingly.

4. Every body of water is different#

Difference in light penetration between oceanic and coastal/estuarine conditions Difference in light penetration between oceanic conditions (dominated by absorption) and coastal/estuarine conditions (dominated by scattering). Source: Renema (2017).

The Jerlov classification#

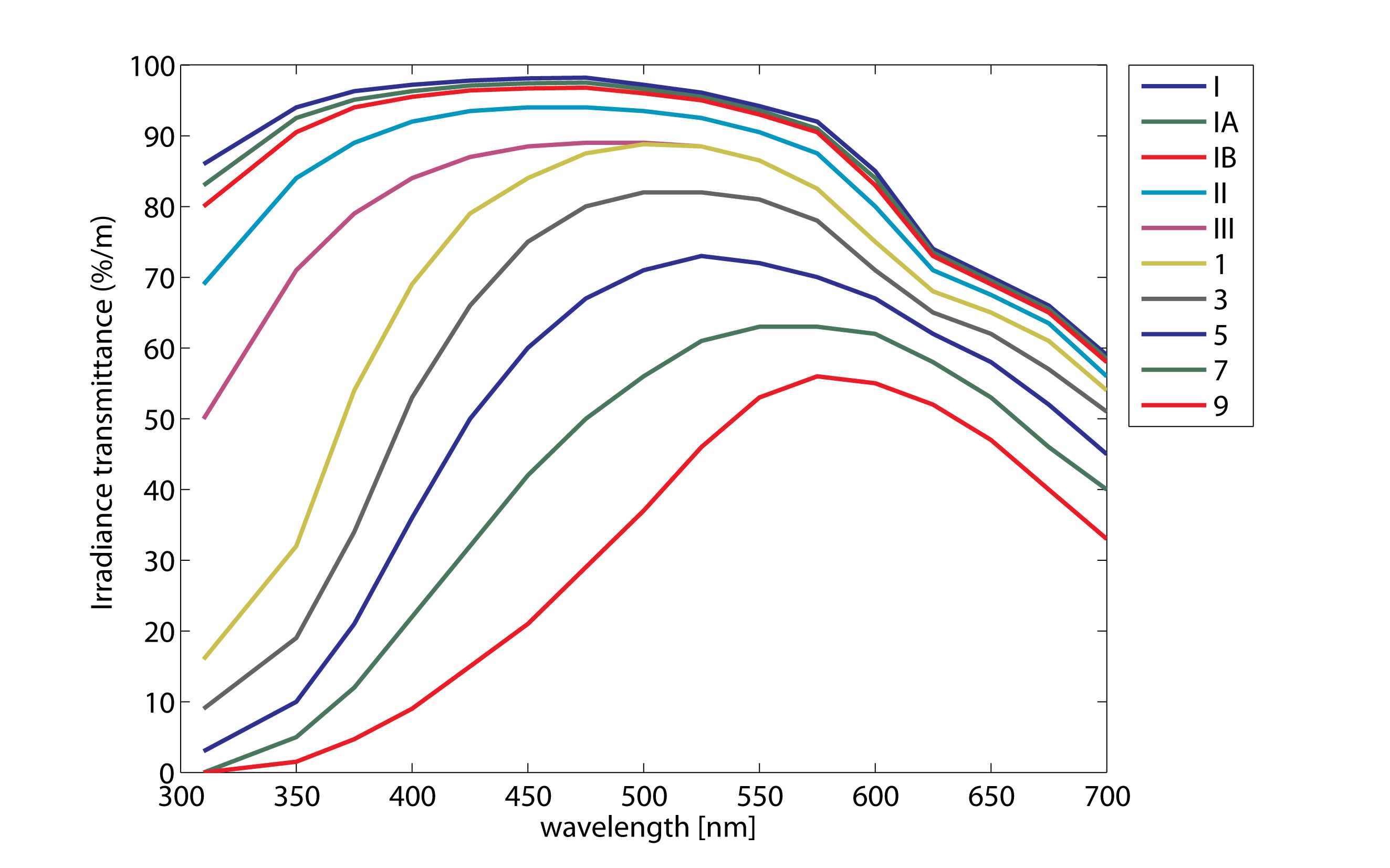
Oceanographers classify water bodies by their optical properties using the Jerlov system 5: 5 open-ocean types (I, IA, IB, II, III) and 9 coastal types (1C through 9C), defined by their diffuse attenuation coefficient K_d(λ) — a measure of how quickly downwelling light diminishes with depth at each wavelength. The differences are dramatic — clear tropical ocean and murky coastal water are separated by orders of magnitude in K_d.

Jerlov water types — diffuse attenuation spectra Jerlov water type classification: diffuse attenuation coefficient K_d(λ) for open-ocean (I–III) and coastal (1C–9C) water types. Source: ROMS Ocean Modeling, based on Jerlov (1976) 5.

What varies#

Water type Character Transmission Visibility
Clear tropical reef (Jerlov I–II) Pure water absorption dominates Blue 20–30m
Temperate coastal (Jerlov 3C–7C) CDOM + phytoplankton Green 5–10m
Freshwater lake/river CDOM-dominated Green-brown 1–5m
Silty/disturbed Particle scattering <1m

Between these water types, everything that matters for photography changes: which wavelengths are absorbed fastest, how quickly light decays with depth, whether color loss or contrast loss dominates, and which absorbers are responsible.

Why this defeats universal correction#

A correction tuned for Caribbean blue water will make Mediterranean green water look wrong, and vice versa. The problem isn’t just how much light is lost — it’s which wavelengths are lost. The shape of the attenuation curve differs between water types, not just its magnitude. A simple “underwater” white balance preset or a single set of channel multipliers cannot account for this variation.

Even within a single photograph, the water isn’t uniform. Near the bottom: resuspended sediment increases scattering. Near the surface: more light but potentially more phytoplankton. Thermoclines and haloclines create optical boundaries. One frame can span multiple effective water types.

5. What this means for photography#

The underwater photographer faces a stack of interacting problems:

  • Absorption strips color — selectively, exponentially, differently in every body of water
  • Scattering strips contrast and sharpness — growing with distance and turbidity
  • Variability prevents any single correction from working everywhere — or even across a single image

These degradations are physical. They happen to photons before they reach the sensor. No camera setting prevents them. A strobe restores the spectrum locally but only over short range, and it introduces mixed lighting. White balance can’t model an illuminant that doesn’t follow a black-body curve.

What can be done — through careful shooting, RAW capture, and computational correction — is the subject of the next article.

What’s not covered here: refraction. Light bending at the water-housing interface — flat port distortion, dome port optics, Snell’s window — is a real topic in underwater optics, but not the focus of this series.


References#


  1. McGlamery, B.L. (1979). “A computer model for underwater camera systems.” Proceedings of SPIE, Vol. 208. ↩︎ ↩︎

  2. Akkaynak, D. & Treibitz, T. (2018). “A Revised Underwater Image Formation Model.” CVPR 2018. See also: Akkaynak, D. & Treibitz, T. (2019). “Sea-Thru: A Method for Removing Water From Underwater Images.” CVPR 2019↩︎

  3. Pope, R.M. & Fry, E.S. (1997). “Absorption spectrum (380–700 nm) of pure water. II. Integrating cavity measurements.” Applied Optics, 36(33), 8710–8723. ↩︎

  4. Woźniak, B. & Dera, J. (2007). Light Absorption in Sea Water. Springer, Atmospheric and Oceanographic Sciences Library, Vol. 33. ↩︎ ↩︎

  5. Jerlov, N.G. (1976). Marine Optics. Elsevier Oceanography Series, Vol. 14. ↩︎ ↩︎

← back to main page ScubAI Docs App Store